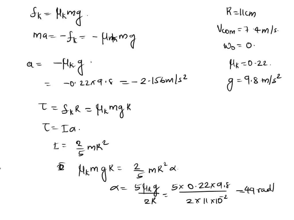
A Bowler Throws A Bowling Ball Of Radius . a bowler throws a bowling ball of radius r along a lane. in summary, the problem involves a bowler throwing a bowling ball of radius r= 11 cm with initial speed vcom =. The ball (see the figure below) slides on the lane with initial speed. The ball slides on the lane, with initial speed v com,0 and initial angular. A bowler throws a bowling ball of radius r=11 \mathrm {~cm} along a lane. The ball slides on the lane, with initial speed and initial angular. The ball is thrown in such a. a bowler throws a bowling ball of radius r = 11.0 cm down the lane with initial speed = 8.50 m/s. a bowler throws a bowling ball of radius r= 11cm down a lane. a bowler throws a bowling ball of radius r = 11 cm along a lane. a bowler throws a bowling ball of radius r = 11 cm along a lane.
from www.happybowlers.com
The ball slides on the lane, with initial speed and initial angular. The ball is thrown in such a. The ball (see the figure below) slides on the lane with initial speed. a bowler throws a bowling ball of radius r along a lane. in summary, the problem involves a bowler throwing a bowling ball of radius r= 11 cm with initial speed vcom =. a bowler throws a bowling ball of radius r= 11cm down a lane. a bowler throws a bowling ball of radius r = 11.0 cm down the lane with initial speed = 8.50 m/s. The ball slides on the lane, with initial speed v com,0 and initial angular. a bowler throws a bowling ball of radius r = 11 cm along a lane. A bowler throws a bowling ball of radius r=11 \mathrm {~cm} along a lane.
How to bowl 2 handed style (Part 1) The basic concept
A Bowler Throws A Bowling Ball Of Radius a bowler throws a bowling ball of radius r = 11.0 cm down the lane with initial speed = 8.50 m/s. a bowler throws a bowling ball of radius r = 11 cm along a lane. The ball is thrown in such a. a bowler throws a bowling ball of radius r = 11 cm along a lane. a bowler throws a bowling ball of radius r = 11.0 cm down the lane with initial speed = 8.50 m/s. The ball slides on the lane, with initial speed v com,0 and initial angular. a bowler throws a bowling ball of radius r along a lane. A bowler throws a bowling ball of radius r=11 \mathrm {~cm} along a lane. The ball (see the figure below) slides on the lane with initial speed. The ball slides on the lane, with initial speed and initial angular. a bowler throws a bowling ball of radius r= 11cm down a lane. in summary, the problem involves a bowler throwing a bowling ball of radius r= 11 cm with initial speed vcom =.
From www.alamy.com
Male bowler throws ball on lane, front view, throwing in action. Bowling alley teams playing the A Bowler Throws A Bowling Ball Of Radius The ball is thrown in such a. The ball slides on the lane, with initial speed v com,0 and initial angular. a bowler throws a bowling ball of radius r = 11 cm along a lane. in summary, the problem involves a bowler throwing a bowling ball of radius r= 11 cm with initial speed vcom =. . A Bowler Throws A Bowling Ball Of Radius.
From www.numerade.com
A bowler throws a bowling ball of radius R=11 cm along a lane. The ball (Fig. 1138 ) slides on A Bowler Throws A Bowling Ball Of Radius The ball (see the figure below) slides on the lane with initial speed. The ball is thrown in such a. The ball slides on the lane, with initial speed v com,0 and initial angular. a bowler throws a bowling ball of radius r= 11cm down a lane. in summary, the problem involves a bowler throwing a bowling ball. A Bowler Throws A Bowling Ball Of Radius.
From www.alamy.com
Professional bowler throws his throw and is in position to watch his ball. Bowling life. An A Bowler Throws A Bowling Ball Of Radius The ball slides on the lane, with initial speed v com,0 and initial angular. a bowler throws a bowling ball of radius r = 11 cm along a lane. A bowler throws a bowling ball of radius r=11 \mathrm {~cm} along a lane. The ball slides on the lane, with initial speed and initial angular. a bowler throws. A Bowler Throws A Bowling Ball Of Radius.
From www.alamy.com
Male bowler throws ball on lane, front view, throwing in action. Bowling alley teams playing the A Bowler Throws A Bowling Ball Of Radius The ball is thrown in such a. in summary, the problem involves a bowler throwing a bowling ball of radius r= 11 cm with initial speed vcom =. a bowler throws a bowling ball of radius r along a lane. a bowler throws a bowling ball of radius r = 11 cm along a lane. a. A Bowler Throws A Bowling Ball Of Radius.
From www.chegg.com
Solved A bowler throws a bowling ball of radius R = 11 cm A Bowler Throws A Bowling Ball Of Radius in summary, the problem involves a bowler throwing a bowling ball of radius r= 11 cm with initial speed vcom =. The ball is thrown in such a. a bowler throws a bowling ball of radius r = 11 cm along a lane. a bowler throws a bowling ball of radius r = 11.0 cm down the. A Bowler Throws A Bowling Ball Of Radius.
From bowlingballsguide.com
🎳 How To Throw A Bowling Ball 7 Ultimate Steps A Bowler Throws A Bowling Ball Of Radius in summary, the problem involves a bowler throwing a bowling ball of radius r= 11 cm with initial speed vcom =. a bowler throws a bowling ball of radius r = 11 cm along a lane. The ball slides on the lane, with initial speed v com,0 and initial angular. a bowler throws a bowling ball of. A Bowler Throws A Bowling Ball Of Radius.
From www.chegg.com
Solved A bowler throws a bowling ball of radius R=11 cm A Bowler Throws A Bowling Ball Of Radius a bowler throws a bowling ball of radius r along a lane. The ball slides on the lane, with initial speed and initial angular. a bowler throws a bowling ball of radius r = 11 cm along a lane. The ball slides on the lane, with initial speed v com,0 and initial angular. a bowler throws a. A Bowler Throws A Bowling Ball Of Radius.
From www.alamy.com
Female bowler throws ball on lane, strike shot. Bowling alley teams playing the game in club A Bowler Throws A Bowling Ball Of Radius in summary, the problem involves a bowler throwing a bowling ball of radius r= 11 cm with initial speed vcom =. The ball slides on the lane, with initial speed v com,0 and initial angular. A bowler throws a bowling ball of radius r=11 \mathrm {~cm} along a lane. The ball is thrown in such a. a bowler. A Bowler Throws A Bowling Ball Of Radius.
From www.dreamstime.com
Bowler Throw the Ball at the Bowling Lane Stock Photo Image of tenpin, young 134211994 A Bowler Throws A Bowling Ball Of Radius The ball slides on the lane, with initial speed v com,0 and initial angular. The ball (see the figure below) slides on the lane with initial speed. a bowler throws a bowling ball of radius r = 11.0 cm down the lane with initial speed = 8.50 m/s. a bowler throws a bowling ball of radius r along. A Bowler Throws A Bowling Ball Of Radius.
From bowlingballsguide.com
🎳 How To Throw A Bowling Ball 7 Ultimate Steps A Bowler Throws A Bowling Ball Of Radius A bowler throws a bowling ball of radius r=11 \mathrm {~cm} along a lane. a bowler throws a bowling ball of radius r = 11.0 cm down the lane with initial speed = 8.50 m/s. a bowler throws a bowling ball of radius r = 11 cm along a lane. a bowler throws a bowling ball of. A Bowler Throws A Bowling Ball Of Radius.
From www.alamy.com
Professional bowler throws his throw and is in position to watch his ball. Bowling life. An A Bowler Throws A Bowling Ball Of Radius a bowler throws a bowling ball of radius r = 11.0 cm down the lane with initial speed = 8.50 m/s. a bowler throws a bowling ball of radius r= 11cm down a lane. The ball (see the figure below) slides on the lane with initial speed. A bowler throws a bowling ball of radius r=11 \mathrm {~cm}. A Bowler Throws A Bowling Ball Of Radius.
From www.askiitians.com
A bowler throws a bowling ball of radius R = 11.0 cm down the lane wi askIITians A Bowler Throws A Bowling Ball Of Radius The ball is thrown in such a. The ball (see the figure below) slides on the lane with initial speed. in summary, the problem involves a bowler throwing a bowling ball of radius r= 11 cm with initial speed vcom =. a bowler throws a bowling ball of radius r along a lane. A bowler throws a bowling. A Bowler Throws A Bowling Ball Of Radius.
From stock.adobe.com
Playing bowling in sports centre. Bowling ball rolling to knock down pins. Bowling ball on the A Bowler Throws A Bowling Ball Of Radius a bowler throws a bowling ball of radius r = 11 cm along a lane. The ball slides on the lane, with initial speed and initial angular. The ball (see the figure below) slides on the lane with initial speed. a bowler throws a bowling ball of radius r = 11.0 cm down the lane with initial speed. A Bowler Throws A Bowling Ball Of Radius.
From www.numerade.com
SOLVED A bowler throws a bowling ball of radius R = 11 cm along a lane.The ball (Fig. 1137 A Bowler Throws A Bowling Ball Of Radius a bowler throws a bowling ball of radius r = 11.0 cm down the lane with initial speed = 8.50 m/s. a bowler throws a bowling ball of radius r= 11cm down a lane. a bowler throws a bowling ball of radius r along a lane. a bowler throws a bowling ball of radius r =. A Bowler Throws A Bowling Ball Of Radius.
From www.dreamstime.com
Male Bowler Throws Ball on Lane, Back View Stock Photo Image of floor, board 143151604 A Bowler Throws A Bowling Ball Of Radius The ball is thrown in such a. a bowler throws a bowling ball of radius r = 11 cm along a lane. The ball slides on the lane, with initial speed and initial angular. a bowler throws a bowling ball of radius r= 11cm down a lane. a bowler throws a bowling ball of radius r =. A Bowler Throws A Bowling Ball Of Radius.
From dxodyopbx.blob.core.windows.net
Bowling Balls Curve Throwing at Sharon Andrews blog A Bowler Throws A Bowling Ball Of Radius The ball slides on the lane, with initial speed and initial angular. in summary, the problem involves a bowler throwing a bowling ball of radius r= 11 cm with initial speed vcom =. The ball is thrown in such a. a bowler throws a bowling ball of radius r = 11 cm along a lane. a bowler. A Bowler Throws A Bowling Ball Of Radius.
From www.chegg.com
Solved A bowler throws a bowling ball of radius R = 11 cm A Bowler Throws A Bowling Ball Of Radius a bowler throws a bowling ball of radius r = 11.0 cm down the lane with initial speed = 8.50 m/s. A bowler throws a bowling ball of radius r=11 \mathrm {~cm} along a lane. a bowler throws a bowling ball of radius r = 11 cm along a lane. in summary, the problem involves a bowler. A Bowler Throws A Bowling Ball Of Radius.
From www.chegg.com
Solved A bowler throws a bowling ball of radius R=11 cm A Bowler Throws A Bowling Ball Of Radius a bowler throws a bowling ball of radius r = 11.0 cm down the lane with initial speed = 8.50 m/s. The ball slides on the lane, with initial speed and initial angular. The ball (see the figure below) slides on the lane with initial speed. The ball slides on the lane, with initial speed v com,0 and initial. A Bowler Throws A Bowling Ball Of Radius.